Le monde de l'intelligence artificielle vient de vivre un nouveau moment électrisant. Moins de deux mois après le lancement de son modèle o1, OpenAI fait déjà face à un concurrent de taille made in China.

La startup d'IA chinoise DeepSeek, vient de dévoiler son DeepSeek-R1-Lite-Preview, un modèle d'IA qui pourrait bien faire trembler les ambitions d'OpenAI.
Une approche différente du raisonnement
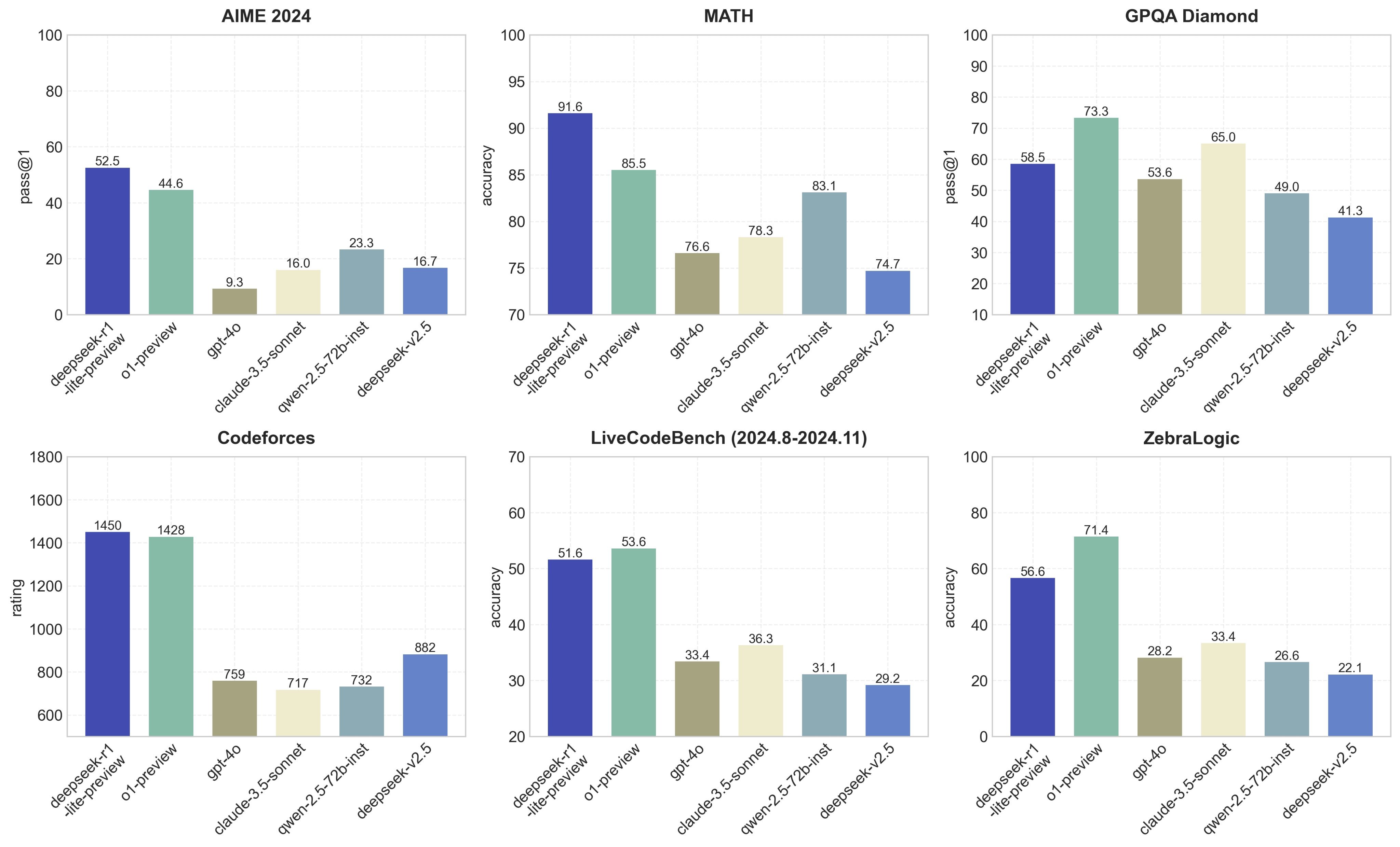
L'été dernier, OpenAI créait la sensation avec son modèle o1, capable de résoudre 83 % des problèmes mathématiques complexes et de surpasser les performances de GPT-4o. Un véritable séisme dans l'écosystème de l'IA, qui semblait avoir trouvé son nouveau champion du raisonnement intelligent.

DeepSeek vient de faire son entrée fracassante dans la course aux modèles d'IA avec son R1-Lite Preview, un système de raisonnement va chambouler les certitudes d'OpenAI. Les premiers tests sont édifiants : le modèle chinois rivalise désormais directement avec o1 sur des tâches complexes de mathématiques et de programmation.
R1-Lite est assez transparent dans son raisonnement et expose ouvertement sa chaîne de pensée (CoT), en se montrant plus bavard que ne l'est o1. Des questions pièges aux demandes plus complexes, force est de constater que le modèle s'en sort vraiment bien. Sa verbose est très appréciable, notamment pour des tâches de code mathématique où une décomposition des tâches peut avoir beaucoup de valeur dans le cadre de l'apprentissage d'un langage.
Les implications pour l'écosystème de l'IA
Les premières estimations suggèrent que R1-Lite pourrait proposer des performances comparables à un coût significativement réduit. Une donnée qui pourrait séduire les entreprises et développeurs à la recherche de solutions d'IA plus accessibles. Ce lancement s'inscrit dans une dynamique plus large : la Chine entend bien devenir un acteur majeur de l'intelligence artificielle. Plus tôt ce mois-ci, c'est le modèle QWEN 2.5 Coder 32B d'Alibaba qui créait la surprise avec des performances équivalentes à GPT-4o en code, en ne demandant qu'une fraction de la puissance de calcul.
DeepSeek prévoit de rendre son modèle open source et accessible via une API, confirmant sa volonté de transparence. Cette stratégie tranche avec l'approche plus fermée d'OpenAI et pourrait séduire la communauté des développeurs. Les géants de la tech commencent à douter de l'ancien paradigme : « plus c'est gros, mieux c'est ». Les dernières recherches montrent que simplement augmenter la taille des modèles n'est plus suffisant. Des grands noms comme OpenAI, Google et Anthropic cherchent désormais de nouvelles approches pour repousser les limites de l'IA.
Source : Venturebeat